攀枝花市市本级企业招用新成长劳动力 招工成本补贴公示
来源:市就业局 发布时间:2025-12-09 选择阅读字号:[ 大 中 小 ] 阅读次数: 0
攀枝花市就业创业促进中心
关于市本级企业招用新成长劳动力
招工成本补贴的公示
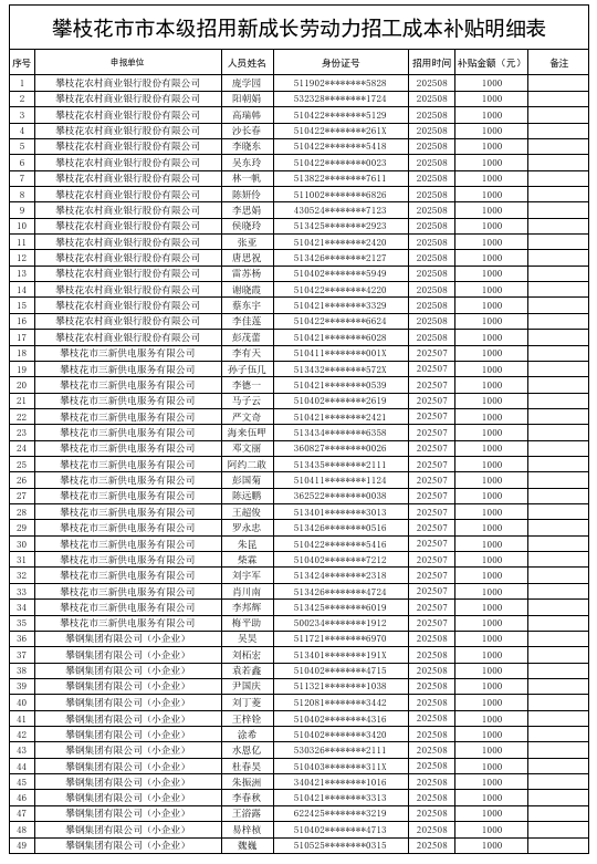
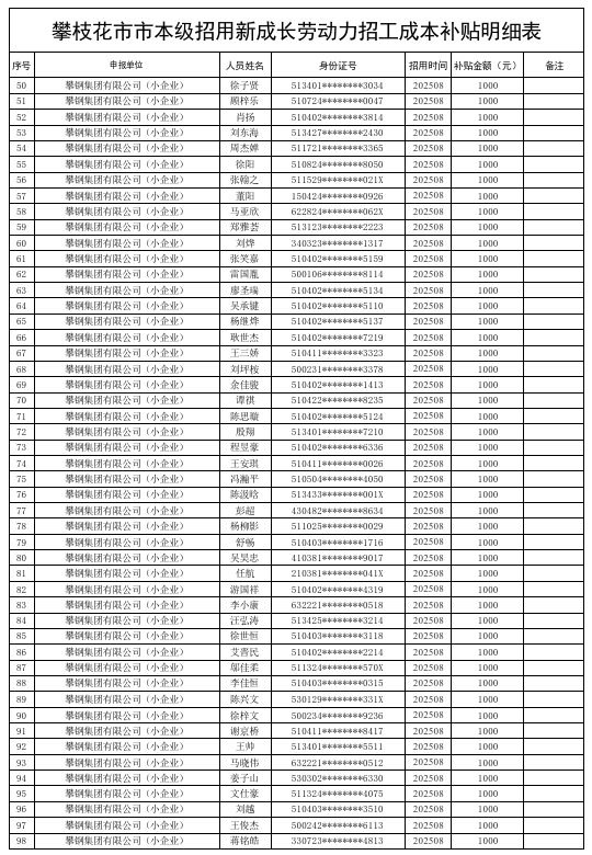
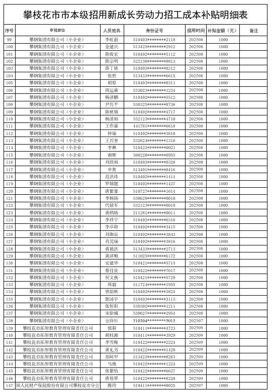
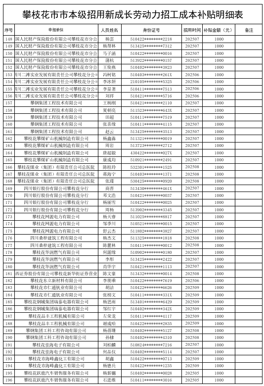
根据《四川省人力资源和社会保障厅关于做好新成长劳动力招工成本补贴发放工作的通知》(川人社函〔2024〕324号)规定,攀枝花市就业创业促进中心收到免申即享单位55家次,经审核,以下单位及人员符合享受补贴条件,现予公示,公示期为2025年12月9日—2025年12月11日,如有异议,请于公示期内反馈。
反馈地点:攀枝花市就业创业促进中心(攀枝花大道东段512号)
反馈电话:0812—3352957
附件:攀枝花市市本级招用新成长劳动力招工成本补贴明细表
攀枝花市就业创业促进中心
2025年12月9日
附件





审核: 贾长春 责任编辑: 罗雨珂



川公网安备51040202000371号

